Официальное опубликование правовых актов
ОФИЦИАЛЬНОЕ ОПУБЛИКОВАНИЕ
Постановление Правительства Республики Хакасия от 12.02.2024 № 98
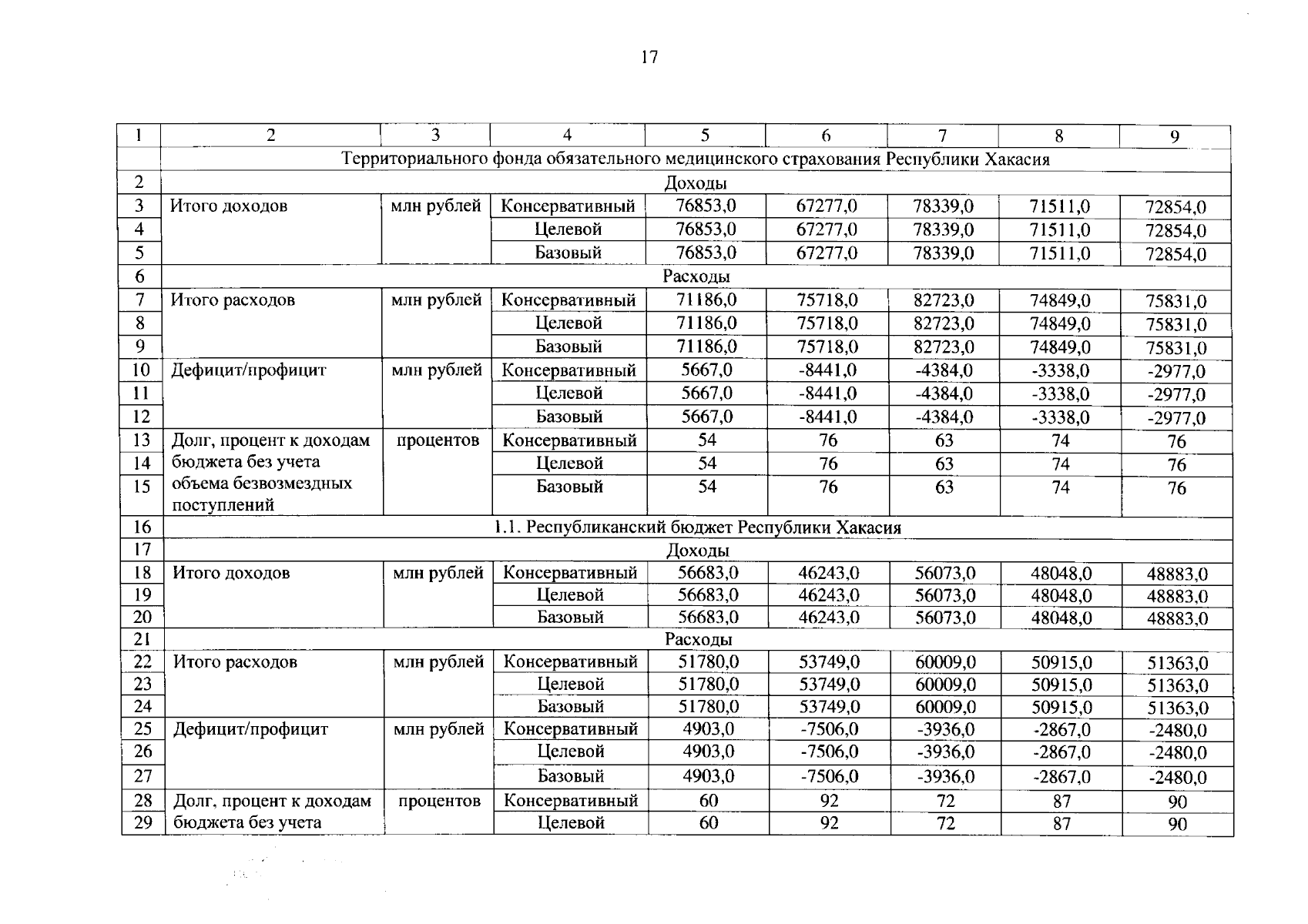
"О внесении изменений в приложение к постановлению Правительства Республики Хакасия от 27.02.2017 № 75 "Об утверждении Долгосрочного бюджетного прогноза Республики Хакасия на период до 2036 года"
Номер опубликования: 1900202402130002
Дата опубликования: 13.02.2024
Страница №17 из 30:
Увеличить