Официальное опубликование правовых актов
ОФИЦИАЛЬНОЕ ОПУБЛИКОВАНИЕ
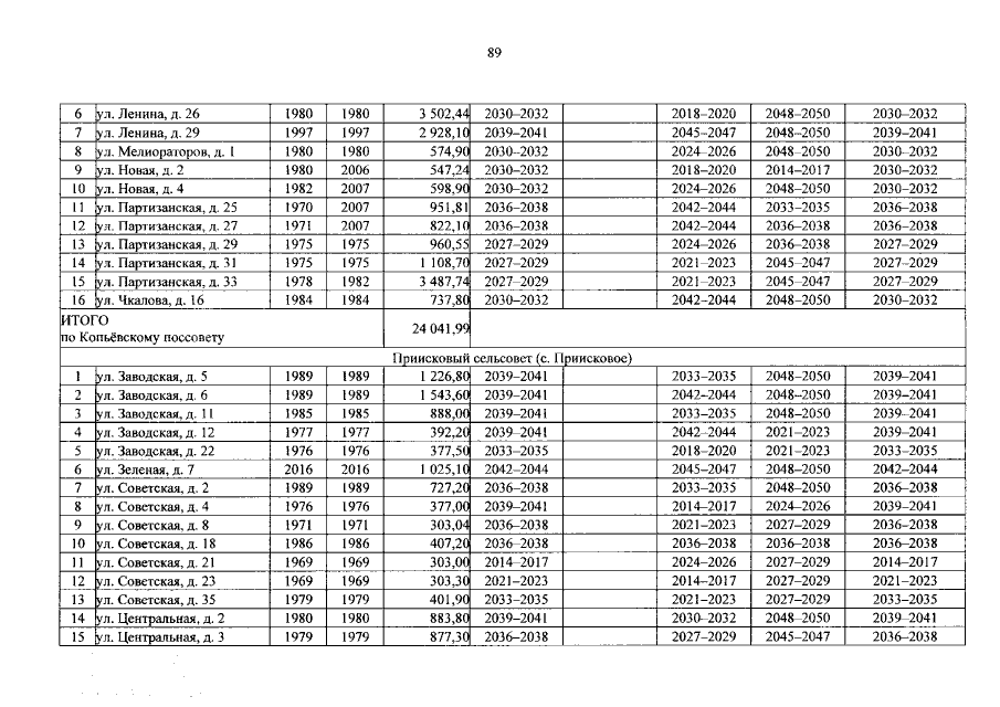
Постановление Правительства Республики Хакасия от 24.06.2022 № 384
"О внесении изменений в региональную программу "Капитальный ремонт общего имущества в многоквартирных домах, расположенных на территории Республики Хакасия (2014–2050 годы)", утвержденную постановлением Правительства Республики Хакасия от 14.03.2014 № 102"
Номер опубликования: 1900202206290005
Дата опубликования: 29.06.2022
Страница №89 из 102:
Увеличить