Официальное опубликование правовых актов
ОФИЦИАЛЬНОЕ ОПУБЛИКОВАНИЕ
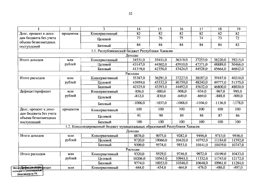
Постановление Правительства Республики Хакасия от 17.02.2022 № 64
"О внесении изменений в приложение к постановлению Правительства Республики Хакасия от 27.02.2017 № 75 "Об утверждении Долгосрочного бюджетного прогноза Республики Хакасия на период до 2036 года"
Номер опубликования: 1900202202180007
Дата опубликования: 18.02.2022
Страница №32 из 44:
Увеличить