Официальное опубликование правовых актов
ОФИЦИАЛЬНОЕ ОПУБЛИКОВАНИЕ
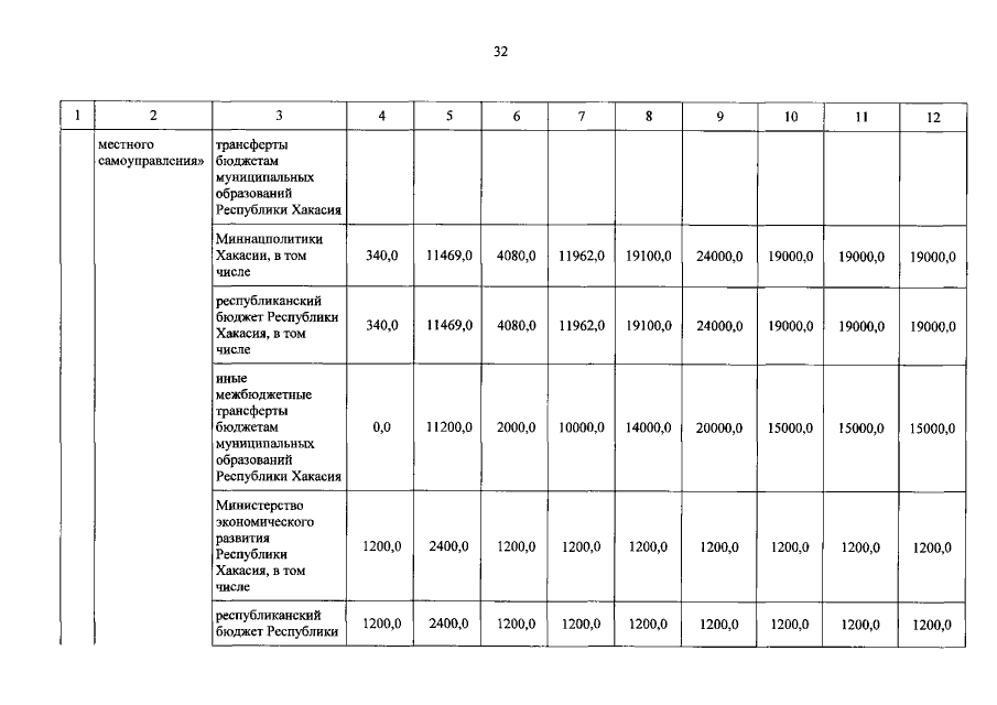
Постановление Правительства Республики Хакасия от 27.12.2021 № 705
"О внесении изменений в государственную программу Республики Хакасия "Региональная политика Республики Хакасия", утвержденную постановлением Правительства Республики Хакасия от 01.11.2016 № 528"
Номер опубликования: 1900202112300007
Дата опубликования: 30.12.2021
Страница №32 из 55:
Увеличить