Официальное опубликование правовых актов
ОФИЦИАЛЬНОЕ ОПУБЛИКОВАНИЕ
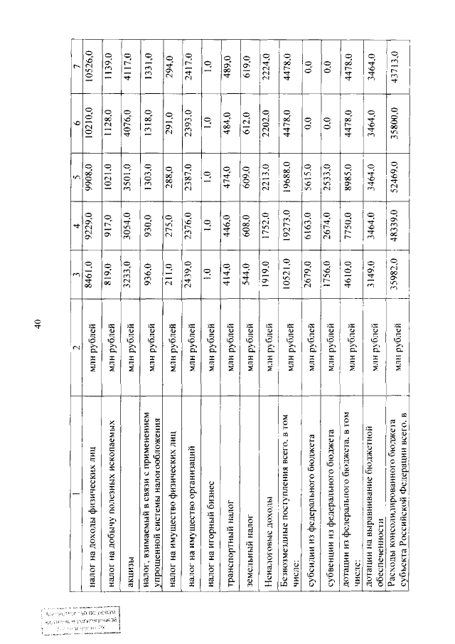
Постановление Правительства Республики Хакасия от 26.10.2021 № 538
"О Прогнозе социально-экономического развития Республики Хакасия на 2022 год и на плановый период 2023 и 2024 годов"
Номер опубликования: 1900202110290009
Дата опубликования: 29.10.2021
Страница №40 из 54:
Увеличить