Официальное опубликование правовых актов
ОФИЦИАЛЬНОЕ ОПУБЛИКОВАНИЕ
Постановление Правительства Республики Хакасия от 11.10.2018 № 504
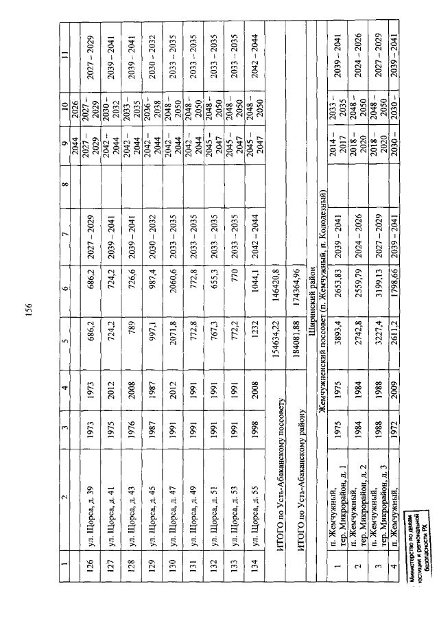
"О внесении изменений в постановление Правительства Республики Хакасия от 14.03.2014 № 102 "Об утверждении региональной программы "Капитальный ремонт общего имущества в многоквартирных домах, расположенных на территории Республики Хакасия (2014–2043 годы)"
Номер опубликования: 1900201810160002
Дата опубликования: 16.10.2018
Страница №156 из 167:
Увеличить