Официальное опубликование правовых актов
ОФИЦИАЛЬНОЕ ОПУБЛИКОВАНИЕ
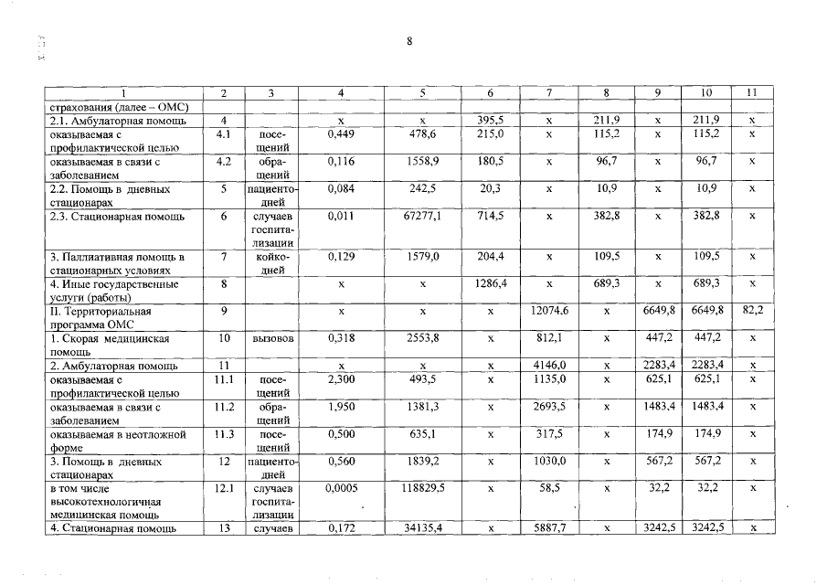
Постановление Правительства Республики Хакасия от 30.12.2015 № 732
"О внесении изменений в территориальную программу государственных гарантий бесплатного оказания гражданам медицинской помощи на территории Республики Хакасия на 2015 год и на плановый период 2016 и 2017 годов, утвержденную постановлением Правительства Республики Хакасия от 30.12.2014 № 721"
Номер опубликования: 1900201601080018
Дата опубликования: 08.01.2016
Страница №8 из 10:
Увеличить