Официальное опубликование правовых актов
ОФИЦИАЛЬНОЕ ОПУБЛИКОВАНИЕ
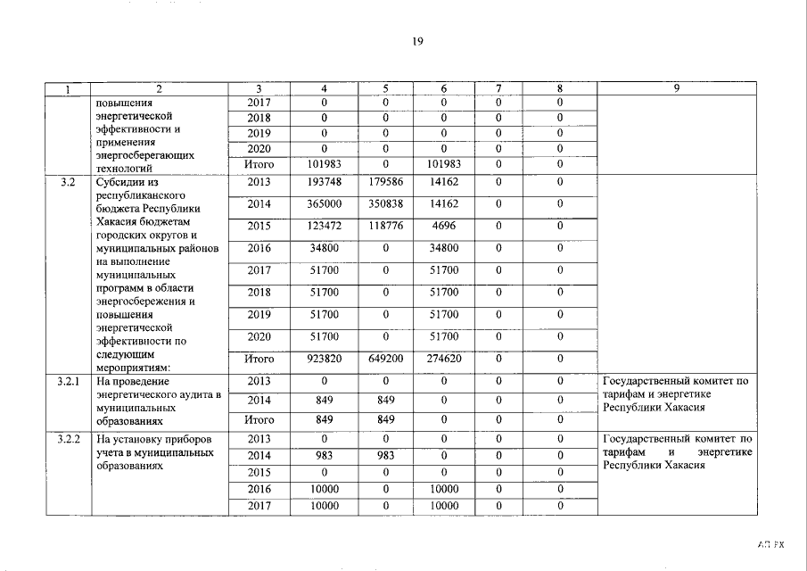
Постановление Правительства Республики Хакасия от 30.12.2015 № 734
"О внесении изменений в государственную программу Республики Хакасия "Энергосбережение и повышение энергоэффективности в Республике Хакасия на 2013–2015 годы и на перспективу до 2020 года", утвержденную постановлением Правительства Республики Хакасия от 11.12.2012 № 858"
Номер опубликования: 1900201601080014
Дата опубликования: 08.01.2016
Страница №19 из 66:
Увеличить