Официальное опубликование правовых актов
ОФИЦИАЛЬНОЕ ОПУБЛИКОВАНИЕ
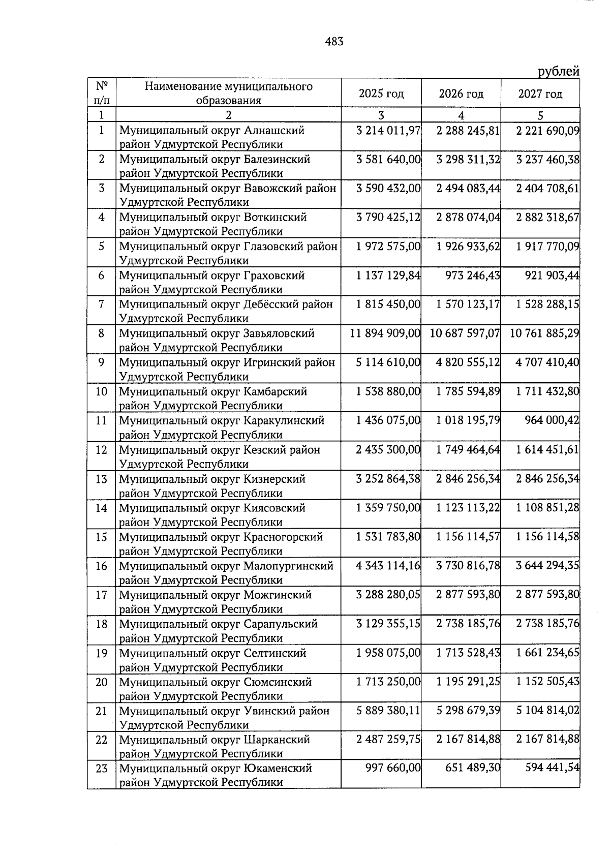
Закон Удмуртской Республики от 16.12.2025 № 75-РЗ
"О внесении изменений в Закон Удмуртской Республики "О бюджете Удмуртской Республики на 2025 год и на плановый период 2026 и 2027 годов"
Номер опубликования: 1800202512190003
Дата опубликования: 19.12.2025
Страница №483 из 547:
Увеличить