Постановление Правительства Удмуртской Республики от 26.03.2025 № 161
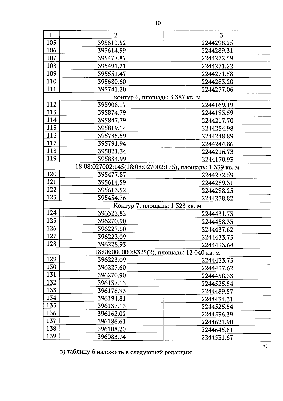
"О внесении изменений в постановление Правительства Удмуртской Республики от 15 августа 2024 года № 439 "Об утверждении документации по планировке территории (проекта планировки и проекта межевания территории) по объекту "Реконструкция автомобильной дороги 94 ОП РЗ Р-1 Ижевск – Воткинск в Удмуртской Республике (1 этап)"
"О внесении изменений в постановление Правительства Удмуртской Республики от 15 августа 2024 года № 439 "Об утверждении документации по планировке территории (проекта планировки и проекта межевания территории) по объекту "Реконструкция автомобильной дороги 94 ОП РЗ Р-1 Ижевск – Воткинск в Удмуртской Республике (1 этап)"
Номер опубликования: 1800202503310006
Дата опубликования:
31.03.2025
