Официальное опубликование правовых актов
ОФИЦИАЛЬНОЕ ОПУБЛИКОВАНИЕ
Постановление Правительства Удмуртской Республики от 26.03.2025 № 162
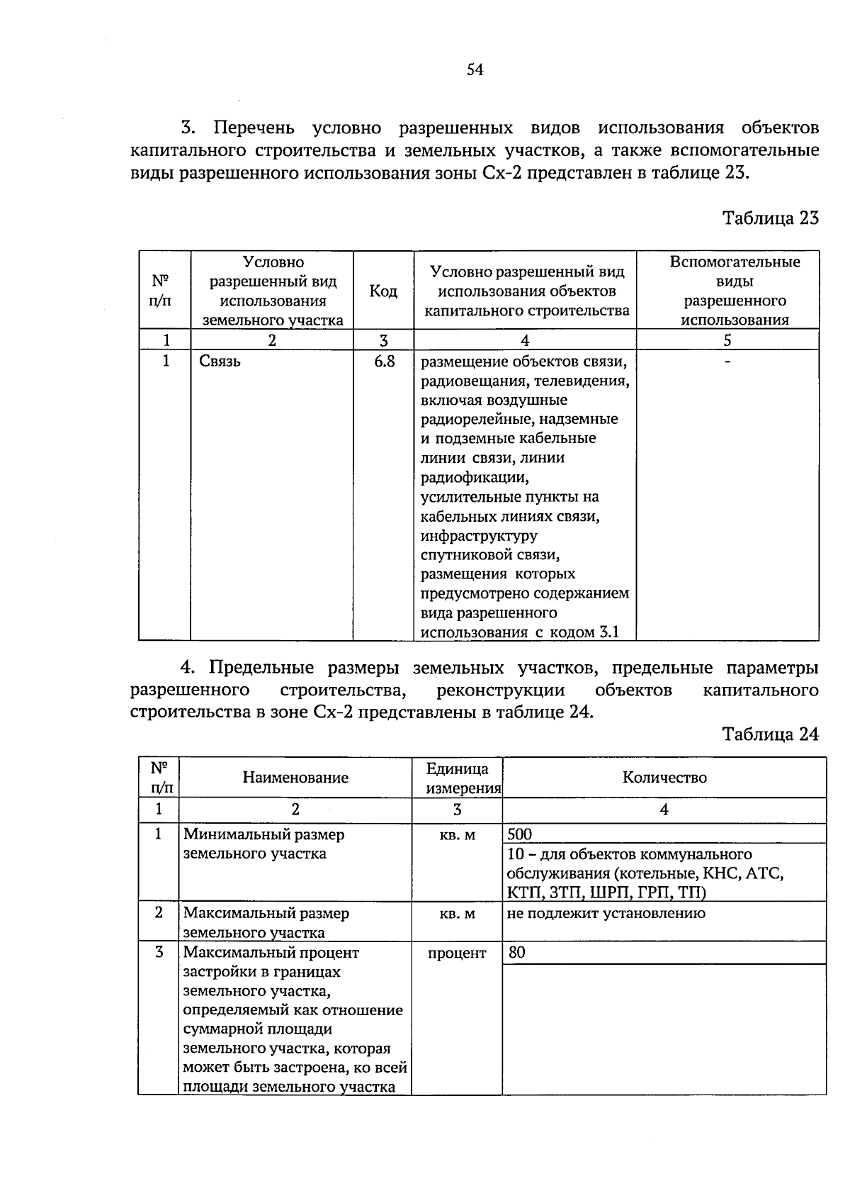
"О внесении изменения в Правила землепользования и застройки муниципального образования "Крымско-Слудское", утвержденные решением Совета депутатов муниципального образования "Крымско-Слудское" Кизнерского района Удмуртской Республики от 23 декабря 2013 года № 14/1"Об утверждении "Правил землепользования и застройки муниципального образования "Крымско-Слудское"
Номер опубликования: 1800202503310005
Дата опубликования: 31.03.2025
Страница №55 из 68:
Увеличить