Официальное опубликование правовых актов
ОФИЦИАЛЬНОЕ ОПУБЛИКОВАНИЕ
Постановление Правительства Удмуртской Республики от 14.02.2025 № 73
"О внесении изменений в Правила землепользования и застройки муниципального образования "Граховское", утвержденные решением Совета депутатов муниципального образования "Граховское" Граховского района Удмуртской Республики от 5 августа 2011 года № 1/127 "Об утверждении проекта Правил землепользования и застройки муниципального образования "Граховское"
Номер опубликования: 1800202502200016
Дата опубликования: 20.02.2025
Страница №22 из 43:
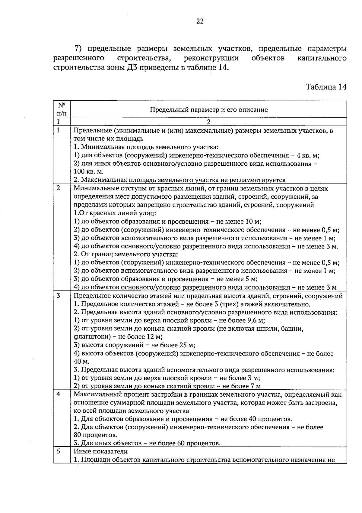
Увеличить