Официальное опубликование правовых актов
ОФИЦИАЛЬНОЕ ОПУБЛИКОВАНИЕ
Постановление Правительства Удмуртской Республики от 08.11.2024 № 578
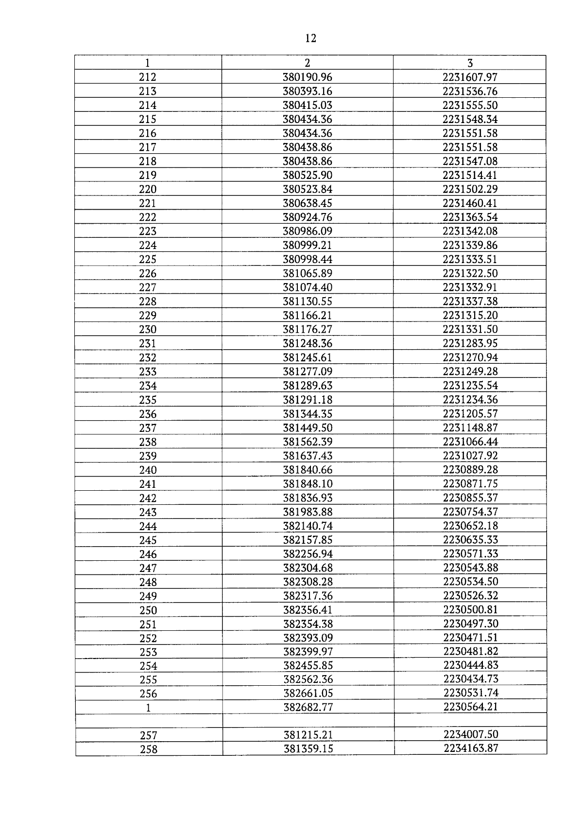
"Об утверждении Документации по планировке территории (проекта планировки территории и проекта межевания территории) линейного объекта "Строительство объектов инженерной и транспортной инфраструктуры, необходимых для функционирования планируемого к созданию объекта "Дифференцированное производство мясопродуктов (охлаждённого и замороженного мяса, а также консервированной тушенки)"
Номер опубликования: 1800202411140008
Дата опубликования: 14.11.2024
Страница №13 из 71:
Увеличить