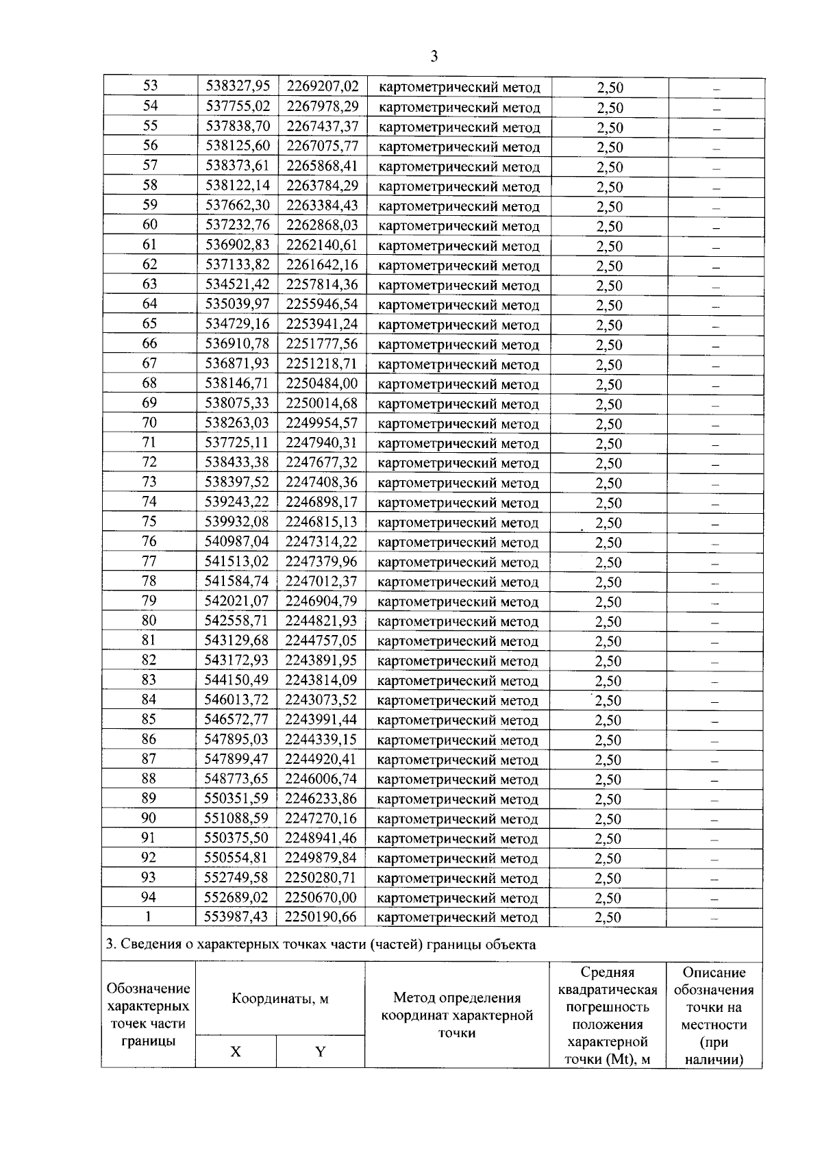
Постановление Правительства Удмуртской Республики от 13.11.2023 № 730
"О внесении изменений в постановление Правительства Удмуртской Республики от 7 ноября 2018 года № 470 "О государственном природном комплексном заказнике "Кулигинский"
"О внесении изменений в постановление Правительства Удмуртской Республики от 7 ноября 2018 года № 470 "О государственном природном комплексном заказнике "Кулигинский"
Номер опубликования: 1800202311170006
Дата опубликования:
17.11.2023
