Официальное опубликование правовых актов
ОФИЦИАЛЬНОЕ ОПУБЛИКОВАНИЕ
Постановление Правительства Удмуртской Республики от 23.08.2023 № 566
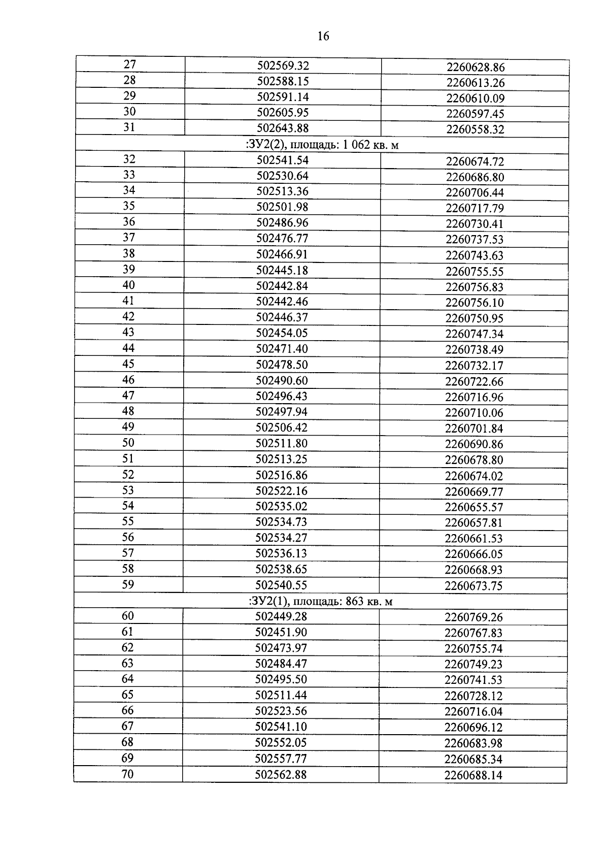
"Об утверждении документации по планировке территории(проекта планировки и проекта межевания территории) по объекту "Реконструкция мостового перехода через р. Лып, км 0+800 автомобильной дороги (Дебесы-Кез) – Удмурт-Зязьгор в Кезском районе Удмуртской Республики"
Номер опубликования: 1800202308310015
Дата опубликования: 31.08.2023
Страница №17 из 18:
Увеличить