Официальное опубликование правовых актов
ОФИЦИАЛЬНОЕ ОПУБЛИКОВАНИЕ
Постановление Правительства Удмуртской Республики от 19.06.2023 № 395
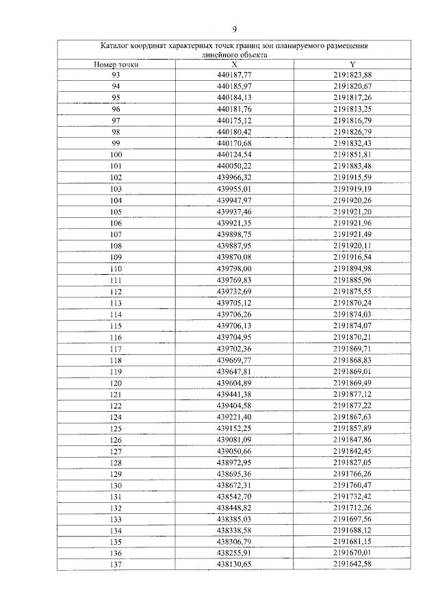
"Об утверждении документации по планировке территории (проекта планировки и проекта межевания территории) по объекту "Реконструкция автомобильной дороги Старые Зятцы – Варавай – Кочиш км 0+000 – км 17+000, участок д. Зеглуд – д. Варавай в Якшур-Бодьинском районе Удмуртской Республики"
Номер опубликования: 1800202306230003
Дата опубликования: 23.06.2023
Страница №10 из 61:
Увеличить