Официальное опубликование правовых актов
ОФИЦИАЛЬНОЕ ОПУБЛИКОВАНИЕ
Постановление Правительства Удмуртской Республики от 05.06.2023 № 370
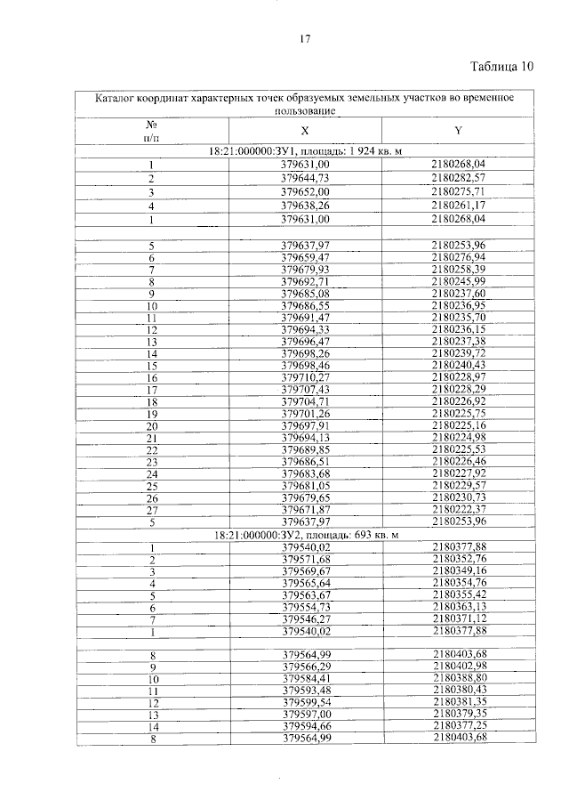
"Об утверждении документации по планировке территории (проекта планировки и проекта межевания территории) по объекту "Капитальный ремонт мостового перехода через р. Нылга, км 58+964 автомобильной дороги Ижевск – Ува в Увинском районе Удмуртской Республики"
Номер опубликования: 1800202306080011
Дата опубликования: 08.06.2023
Страница №18 из 20:
Увеличить