Официальное опубликование правовых актов
ОФИЦИАЛЬНОЕ ОПУБЛИКОВАНИЕ
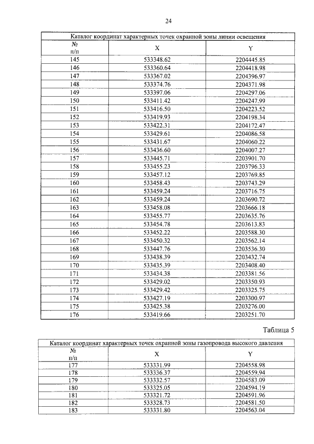
Постановление Правительства Удмуртской Республики от 21.04.2023 № 258
"Об утверждении документации по планировке территории (проекта планировки и проекта межевания территории) по объекту "Капитальный ремонт автомобильной дороги: Инженерная защита участка автомобильной дороги Глазов – Карсовай км 2+000 – км 4+500 в Глазовском районе Удмуртской Республики"
Номер опубликования: 1800202304270020
Дата опубликования: 27.04.2023
Страница №25 из 47:
Увеличить