Официальное опубликование правовых актов
ОФИЦИАЛЬНОЕ ОПУБЛИКОВАНИЕ
Постановление Правительства Удмуртской Республики от 25.01.2023 № 21
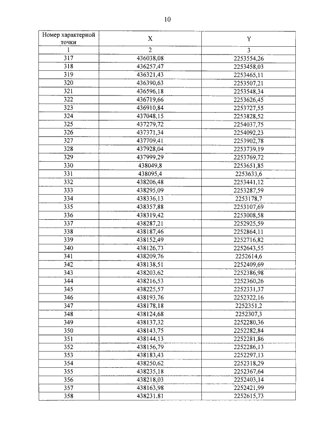
"Об утверждении Документации по планировке (проекта планировки и проекта межевания) территории линейного объекта "Газопровод межпоселковый д. Липовка – д. Мувыр – д. Нижнее Корякино – д. Суроново Шарканского района – д. Сосновские Шорни – д. Мужбер Игринского района с отводом на д. Старый Пашур Шарканского района Удмуртской Республики"
Номер опубликования: 1800202301310003
Дата опубликования: 31.01.2023
Страница №11 из 49:
Увеличить