Официальное опубликование правовых актов
ОФИЦИАЛЬНОЕ ОПУБЛИКОВАНИЕ
Постановление Правительства Удмуртской Республики от 05.09.2022 № 454
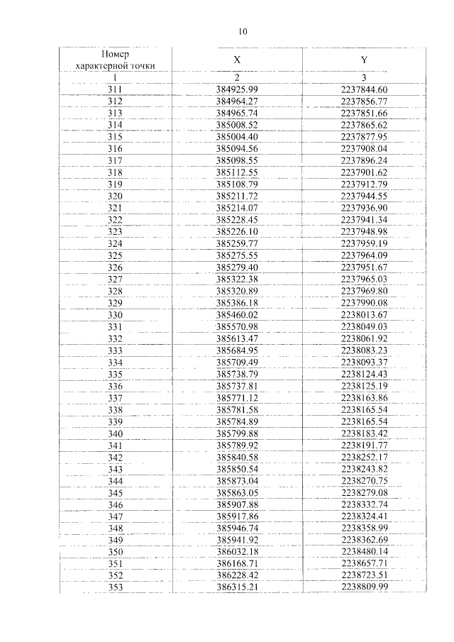
"Об утверждении документации по планировке (проекта планировки и проекта межевания) территории линейного объекта "Газопровод Минибаево – Заинск – Ижевск на автозавод"
Номер опубликования: 1800202209080001
Дата опубликования: 08.09.2022
Страница №11 из 181:
Увеличить