Официальное опубликование правовых актов
ОФИЦИАЛЬНОЕ ОПУБЛИКОВАНИЕ
Постановление Правительства Удмуртской Республики от 11.07.2022 № 352
"О внесении изменений в постановление Правительства Удмуртской Республики от 29 июля 2013 года № 330 "Об утверждении государственной программы Удмуртской Республики "Развитие транспортной системы Удмуртской Республики"
Номер опубликования: 1800202207120006
Дата опубликования: 12.07.2022
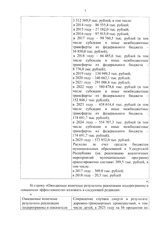
Страница №7 из 47:
Увеличить