Официальное опубликование правовых актов
ОФИЦИАЛЬНОЕ ОПУБЛИКОВАНИЕ
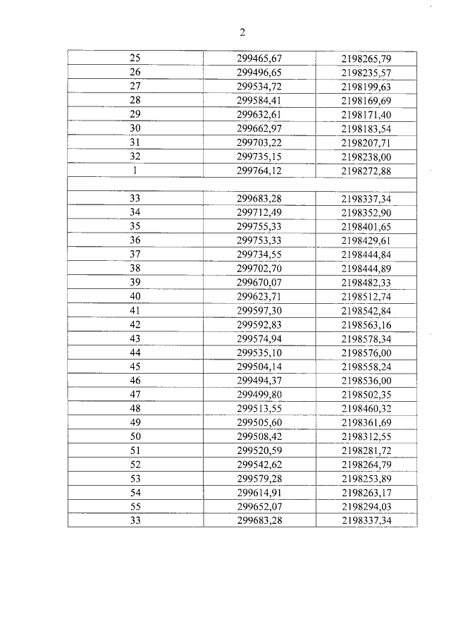
Указ Главы Удмуртской Республики от 24.03.2022 № 50
"Об охранной зоне памятника природы регионального значения "Месторождение лечебных грязей "Муважинское"
Номер опубликования: 1800202203310003
Дата опубликования: 31.03.2022
Страница №3 из 7:
Увеличить