Официальное опубликование правовых актов
ОФИЦИАЛЬНОЕ ОПУБЛИКОВАНИЕ
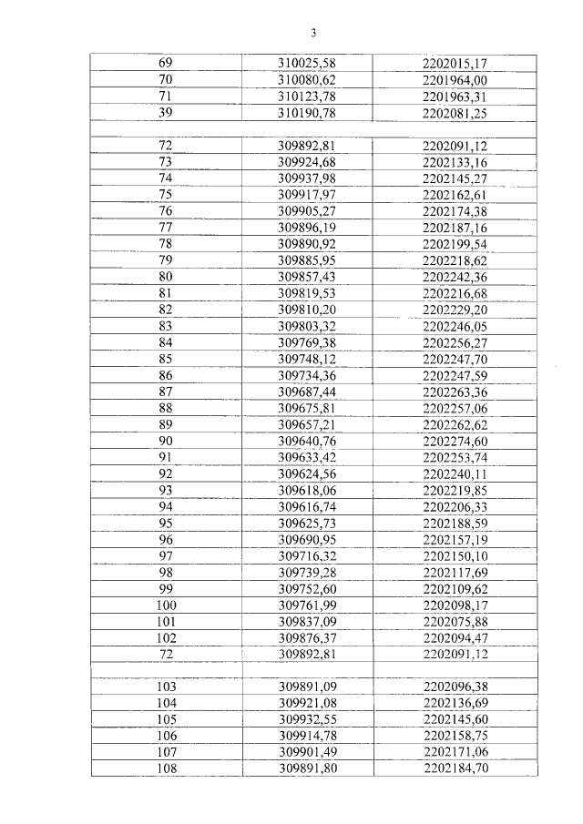
Указ Главы Удмуртской Республики от 10.03.2022 № 29
"Об охранной зоне памятника природы регионального значения "Месторождение лечебных грязей "Варзи-Ятчи"
Номер опубликования: 1800202203160004
Дата опубликования: 16.03.2022
Страница №4 из 9:
Увеличить