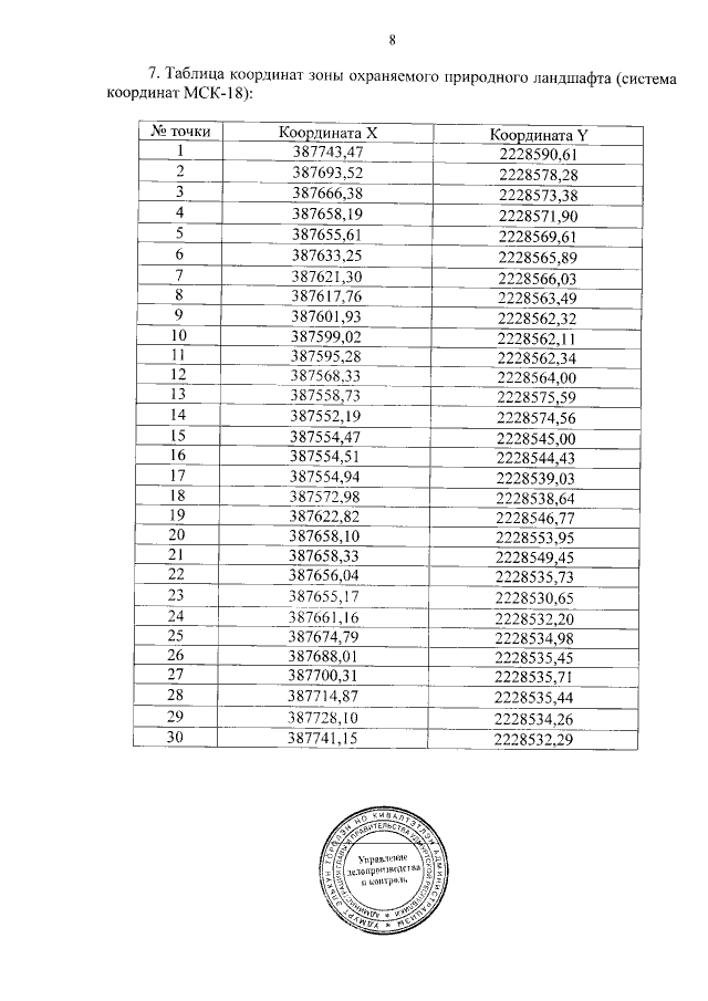
Постановление Правительства Удмуртской Республики от 30.04.2021 № 228
"Об установлении зон охраны объекта культурного наследия регионального значения "Дом Коковихиных, 1857 г., арх. Коковихин И.Т." и утверждении требований к градостроительным регламентам в границах территорий данных зон"
"Об установлении зон охраны объекта культурного наследия регионального значения "Дом Коковихиных, 1857 г., арх. Коковихин И.Т." и утверждении требований к градостроительным регламентам в границах территорий данных зон"
Номер опубликования: 1800202104300010
Дата опубликования:
30.04.2021
