Постановление Правительства Удмуртской Республики от 03.03.2021 № 111
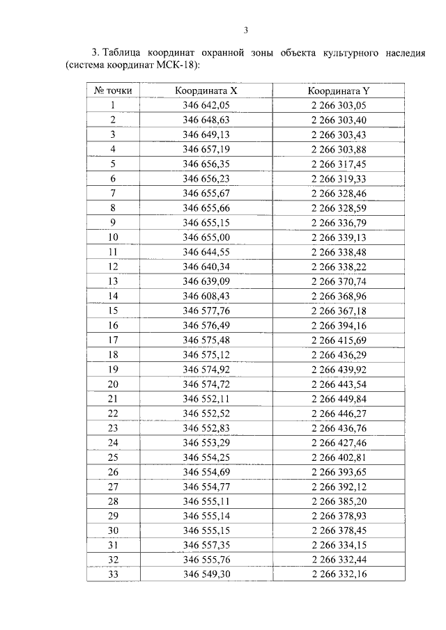
"О внесении изменения в постановление Правительства Удмуртской Республики от 26 мая 2020 года № 220 "Об установлении зон охраны объекта культурного наследия регионального значения "Памятник архитектуры (Госбанк). 1894 г. Архитектор неизвестен" и утверждении требований к градостроительным регламентам в границах территорий данных зон"
"О внесении изменения в постановление Правительства Удмуртской Республики от 26 мая 2020 года № 220 "Об установлении зон охраны объекта культурного наследия регионального значения "Памятник архитектуры (Госбанк). 1894 г. Архитектор неизвестен" и утверждении требований к градостроительным регламентам в границах территорий данных зон"
Номер опубликования: 1800202103090006
Дата опубликования:
09.03.2021
