Официальное опубликование правовых актов
ОФИЦИАЛЬНОЕ ОПУБЛИКОВАНИЕ
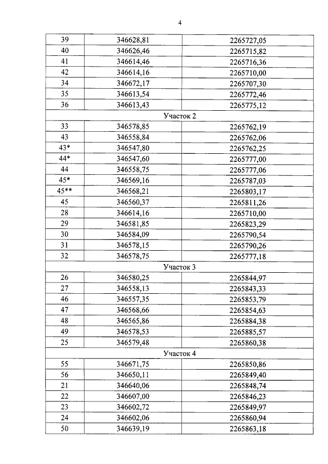
Постановление Правительства Удмуртской Республики от 22.05.2020 № 205
"Об установлении зон охраны объекта культурного наследия регионального значения "Дом Марковых, бывш. Сарапульское казначейство, 1904 г." и утверждении требований к градостроительным регламентам в границах территорий данных зон"
Номер опубликования: 1800202005280003
Дата опубликования: 28.05.2020
Страница №6 из 12:
Увеличить