Официальное опубликование правовых актов
ОФИЦИАЛЬНОЕ ОПУБЛИКОВАНИЕ
Постановление Правительства Удмуртской Республики от 09.12.2019 № 567
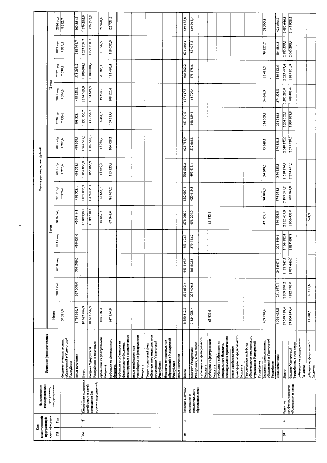
"О внесении изменений в постановление Правительства Удмуртской Республики от 4 сентября 2013 года № 391 "Об утверждении государственной программы Удмуртской Республики "Развитие образования"
Номер опубликования: 1800201912110008
Дата опубликования: 11.12.2019
Страница №42 из 45:
Увеличить