Официальное опубликование правовых актов
ОФИЦИАЛЬНОЕ ОПУБЛИКОВАНИЕ
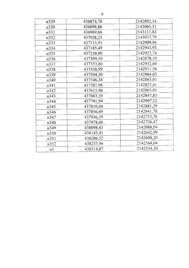
Постановление Правительства Удмуртской Республики от 19.08.2019 № 376
"О памятнике природы регионального значения "Торфяное болото "Мало-Балминское"
Номер опубликования: 1800201908210001
Дата опубликования: 21.08.2019
Страница №15 из 16:
Увеличить