Официальное опубликование правовых актов
ОФИЦИАЛЬНОЕ ОПУБЛИКОВАНИЕ
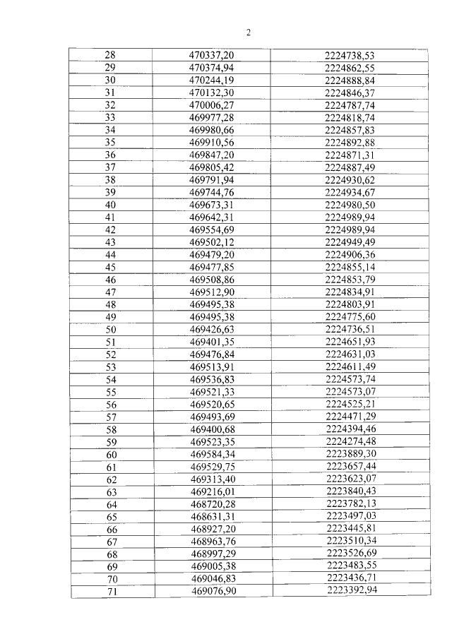
Постановление Правительства Удмуртской Республики от 14.08.2019 № 350
"О памятнике природы регионального значения "Торфяное болото "Игра-Чемашур"
Номер опубликования: 1800201908150009
Дата опубликования: 15.08.2019
Страница №8 из 11:
Увеличить