Официальное опубликование правовых актов
ОФИЦИАЛЬНОЕ ОПУБЛИКОВАНИЕ
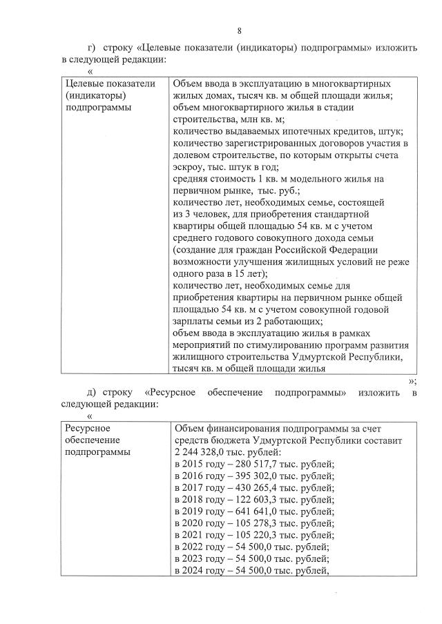
Постановление Правительства Удмуртской Республики от 18.04.2019 № 160
"О внесении изменений в постановление Правительства Удмуртской Республики от 17 августа 2015 года № 408 "Об утверждении государственной программы Удмуртской Республики "Развитие строительной отрасли и регулирование градостроительной деятельности в Удмуртской Республике"
Номер опубликования: 1800201904220005
Дата опубликования: 22.04.2019
Страница №8 из 65:
Увеличить