Постановление Правительства Удмуртской Республики от 12.02.2019 № 42
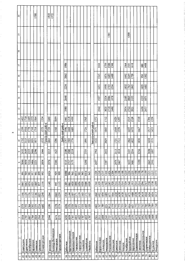
"Об установлении размеров региональных стандартов стоимости жилищно-коммунальных услуг, используемых для расчёта субсидий на оплату жилого помещения и коммунальных услуг, по муниципальным образованиям в Удмуртской Республике при осуществлении оплаты коммунальной услуги по отоплению равномерно за все расчётные месяцы календарного года"
"Об установлении размеров региональных стандартов стоимости жилищно-коммунальных услуг, используемых для расчёта субсидий на оплату жилого помещения и коммунальных услуг, по муниципальным образованиям в Удмуртской Республике при осуществлении оплаты коммунальной услуги по отоплению равномерно за все расчётные месяцы календарного года"
Номер опубликования: 1800201902150001
Дата опубликования:
15.02.2019
