Официальное опубликование правовых актов
ОФИЦИАЛЬНОЕ ОПУБЛИКОВАНИЕ
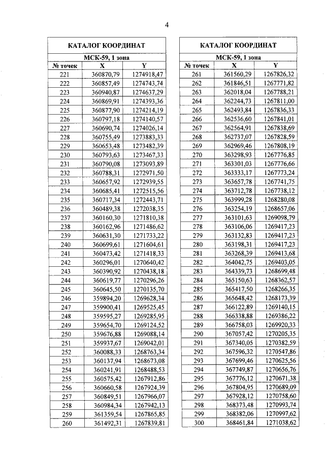
Закон Удмуртской Республики от 10.12.2018 № 77-РЗ
"Об утверждении заключения Соглашения об описании местоположения границы между Удмуртской Республикой и Пермским краем"
Номер опубликования: 1800201812140004
Дата опубликования: 14.12.2018
Страница №49 из 68:
Увеличить