Официальное опубликование правовых актов
ОФИЦИАЛЬНОЕ ОПУБЛИКОВАНИЕ
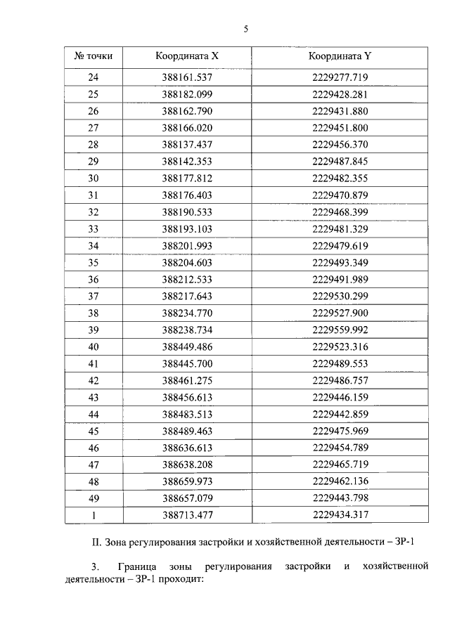
Постановление Правительства Удмуртской Республики от 03.07.2017 № 303
"Об утверждении границ зон охраны объекта культурного наследия регионального значения "Ансамбль жилой застройки ул. Пушкинской, 30-е гг., 1953-1959 гг., архитекторы Пикулев М.В., Попов П.М., Цитлис А.Л., авторский коллектив архитекторов: Ким И.Т., Мясевич B.C., Нелюбина Н.И., Орлов В.П.", режимов использования земель и требований к градостроительным регламентам в границах данных зон"
Номер опубликования: 1800201707070012
Дата опубликования: 07.07.2017
Страница №7 из 22:
Увеличить