Официальное опубликование правовых актов
ОФИЦИАЛЬНОЕ ОПУБЛИКОВАНИЕ
Постановление Правительства Удмуртской Республики от 14.11.2016 № 476
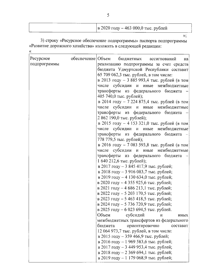
"О внесении изменений в постановление Правительства Удмуртской Республики от 29 июля 2013 года № 330 "Об утверждении государственной программы Удмуртской Республики "Развитие транспортной системы Удмуртской Республики"
Номер опубликования: 1800201611180005
Дата опубликования: 18.11.2016
Страница №5 из 60:
Увеличить