Официальное опубликование правовых актов
ОФИЦИАЛЬНОЕ ОПУБЛИКОВАНИЕ
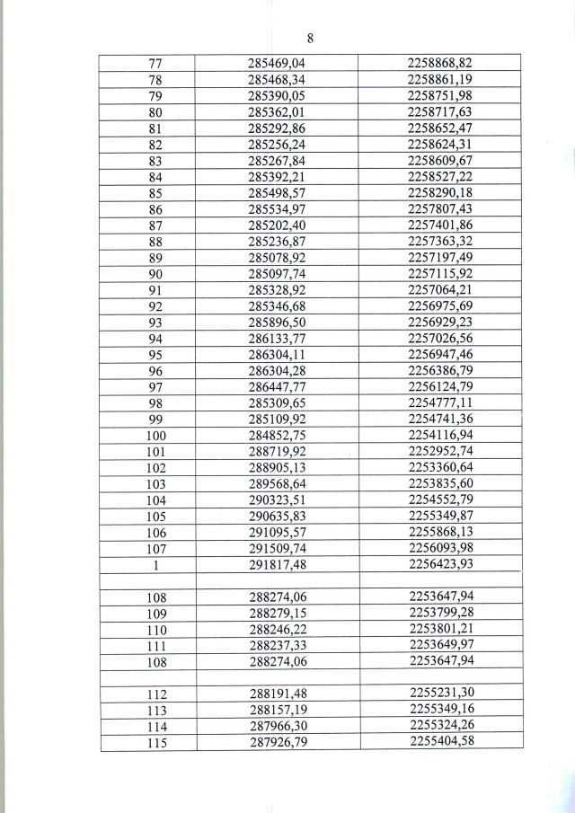
Постановление Правительства Удмуртской Республики от 07.11.2016 № 472
"О включении земельных участков в границы природного парка "Усть-Бельск" и внесении изменений в постановление Правительства Удмуртской Республики от 6 августа 2001 года № 828 "О создании природного парка "Усть-Бельск"
Номер опубликования: 1800201611160002
Дата опубликования: 16.11.2016
Страница №22 из 34:
Увеличить