Официальное опубликование правовых актов
ОФИЦИАЛЬНОЕ ОПУБЛИКОВАНИЕ
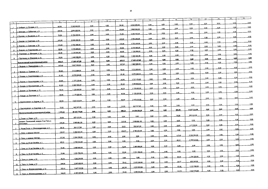
Постановление Правительства Удмуртской Республики от 08.08.2016 № 328
"О внесении изменения в постановление Правительства Удмуртской Республики от 15 апреля 2013 года № 169 "Об утверждении Региональной адресной программы по переселению граждан из аварийного жилищного фонда в Удмуртской Республике на 2013 - 2017 годы"
Номер опубликования: 1800201608120009
Дата опубликования: 12.08.2016
Страница №51 из 66:
Увеличить