Официальное опубликование правовых актов
ОФИЦИАЛЬНОЕ ОПУБЛИКОВАНИЕ
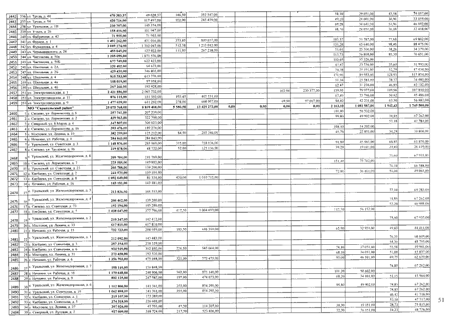
Постановление Правительства Удмуртской Республики от 04.04.2016 № 130
"Об утверждении Краткосрочного плана реализации Региональной программы капитального ремонта общего имущества в многоквартирных домах в Удмуртской Республике на 2016-2018 годы"
Номер опубликования: 1800201604120010
Дата опубликования: 12.04.2016
Страница №112 из 115:
Увеличить