Официальное опубликование правовых актов
ОФИЦИАЛЬНОЕ ОПУБЛИКОВАНИЕ
Постановление Правительства Удмуртской Республики от 08.02.2016 № 44
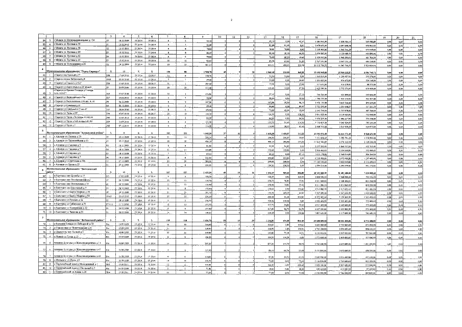
"О внесении изменения в постановление Правительства Удмуртской Республики от 15 апреля 2013 года № 169 "Об утверждении Региональной адресной программы по переселению граждан из аварийного жилищного фонда в Удмуртской Республике на 2013-2017 годы"
Номер опубликования: 1800201602170013
Дата опубликования: 17.02.2016
Страница №13 из 70:
Увеличить