Официальное опубликование правовых актов
ОФИЦИАЛЬНОЕ ОПУБЛИКОВАНИЕ
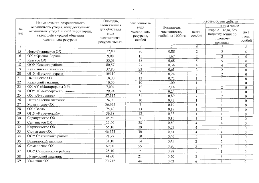
Указ Главы Удмуртской Республики от 27.07.2015 № 153
"Об утверждении лимита добычи охотничьих ресурсов в Удмуртской Республике на период с 1 августа 2015 года до 1 августа 2016 года"
Номер опубликования: 1800201508040015
Дата опубликования: 04.08.2015
Страница №8 из 14:
Увеличить