Официальное опубликование правовых актов
ОФИЦИАЛЬНОЕ ОПУБЛИКОВАНИЕ
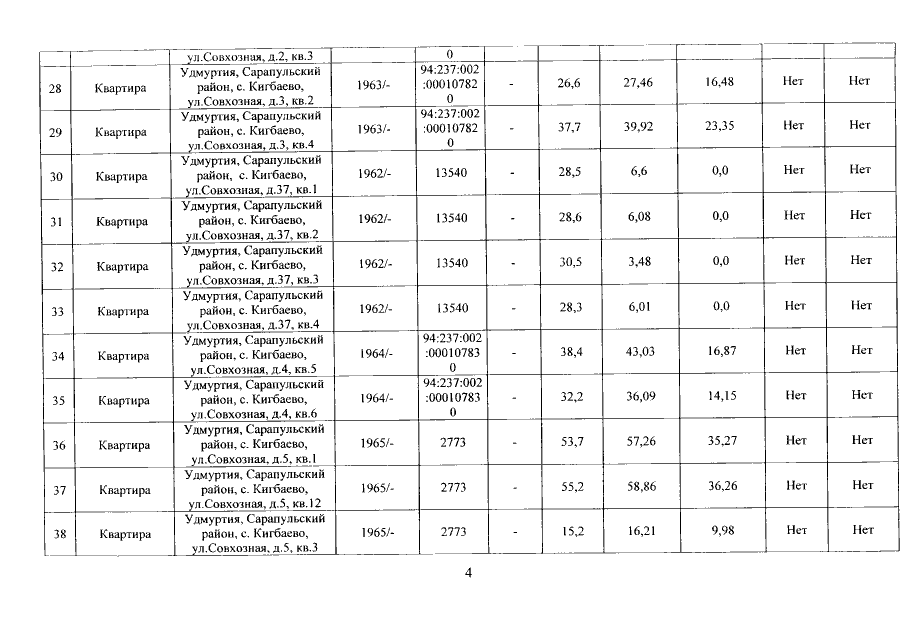
Постановление Правительства Удмуртской Республики от 10.03.2015 № 88
"О разграничении муниципального имущества между муниципальным образованием "Сарапульский район" и входящим в его состав муниципальным образованием "Кигбаевское"
Номер опубликования: 1800201503130011
Дата опубликования: 13.03.2015
Страница №6 из 9:
Увеличить