Официальное опубликование правовых актов
ОФИЦИАЛЬНОЕ ОПУБЛИКОВАНИЕ
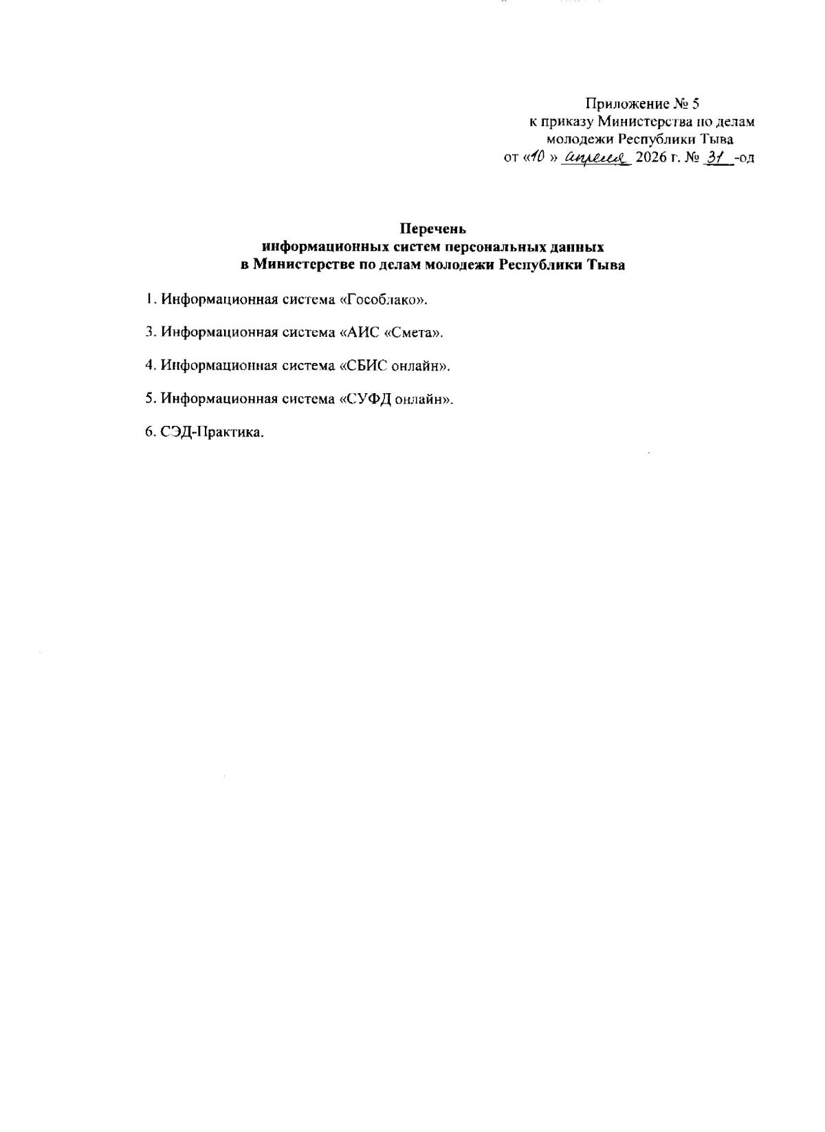
Приказ Министерства по делам молодежи Республики Тыва от 10.04.2026 № 31-од
"Об обработке персональных данных в Министерстве по делам молодежи Республики Тыва"
(Зарегистрирован 21.04.2026 № 1713)
Номер опубликования: 1701202604220002
Дата опубликования: 22.04.2026
Страница №17 из 27:
Увеличить