Официальное опубликование правовых актов
ОФИЦИАЛЬНОЕ ОПУБЛИКОВАНИЕ
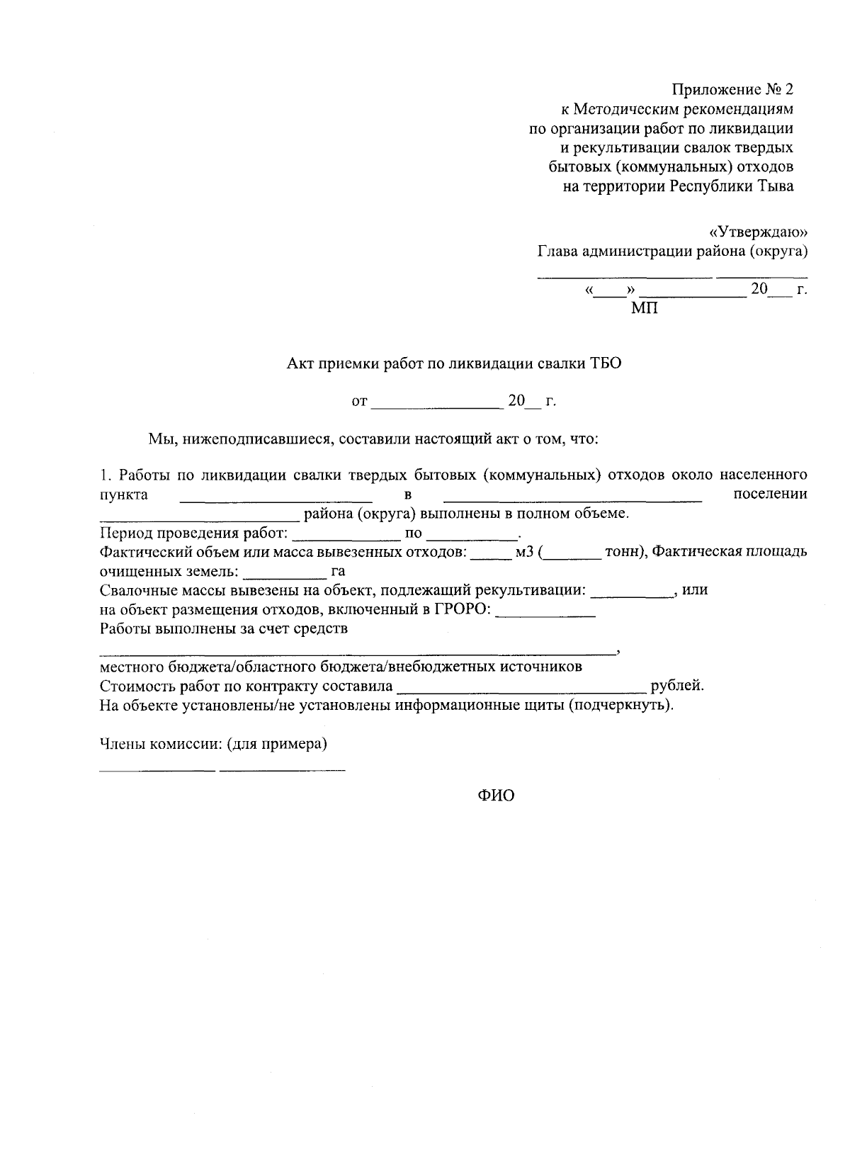
Приказ Министерства лесного хозяйства и природопользования Республики Тыва от 18.06.2025 № 232
"Об утверждении методических рекомендаций по организации работ по ликвидации и рекультивации свалок твердых бытовых (коммунальных) отходов на территории Республики Тыва"
(Зарегистрирован 18.06.2025 № 1467)
Номер опубликования: 1701202506200002
Дата опубликования: 20.06.2025
Страница №8 из 8:
Увеличить