Официальное опубликование правовых актов
ОФИЦИАЛЬНОЕ ОПУБЛИКОВАНИЕ
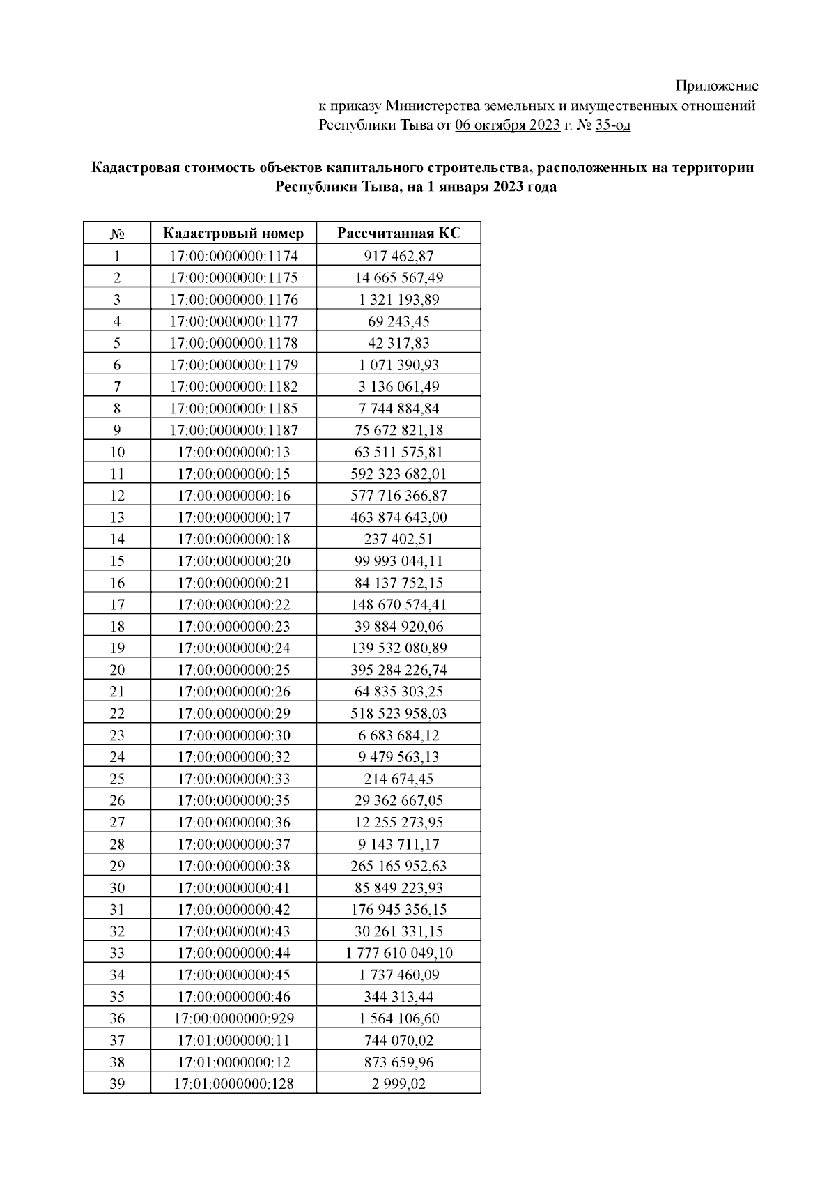
Приказ Министерства земельных и имущественных отношений Республики Тыва от 06.10.2023 № 35-од
"Об утверждении итогов государственной кадастровой стоимости объектов недвижимости (зданий, помещений, сооружений, объектов незавершенного строительства, машино-мест), расположенных на территории Республики Тыва"
(Зарегистрирован 09.10.2023 № 898)
Номер опубликования: 1701202310170001
Дата опубликования: 17.10.2023
Страница №3 из 2887:
Увеличить