Официальное опубликование правовых актов
ОФИЦИАЛЬНОЕ ОПУБЛИКОВАНИЕ
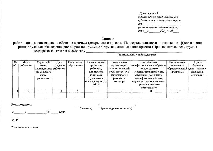
Приказ Министерства труда и социальной политики Республики Тыва от 30.12.2020 № 755
"О реализации мероприятий по организации переобучения, повышения квалификации работников предприятий в рамках федерального проекта "Поддержка занятости и повышение эффективности рынка труда для обеспечения роста производительности труда" национального проекта "Производительность труда и поддержка занятости" в Республике Тыва в 2020 году"
(Зарегистрирован 12.01.2021 № 280)
Номер опубликования: 1701202101150001
Дата опубликования: 15.01.2021
Страница №19 из 21:
Увеличить