Официальное опубликование правовых актов
ОФИЦИАЛЬНОЕ ОПУБЛИКОВАНИЕ
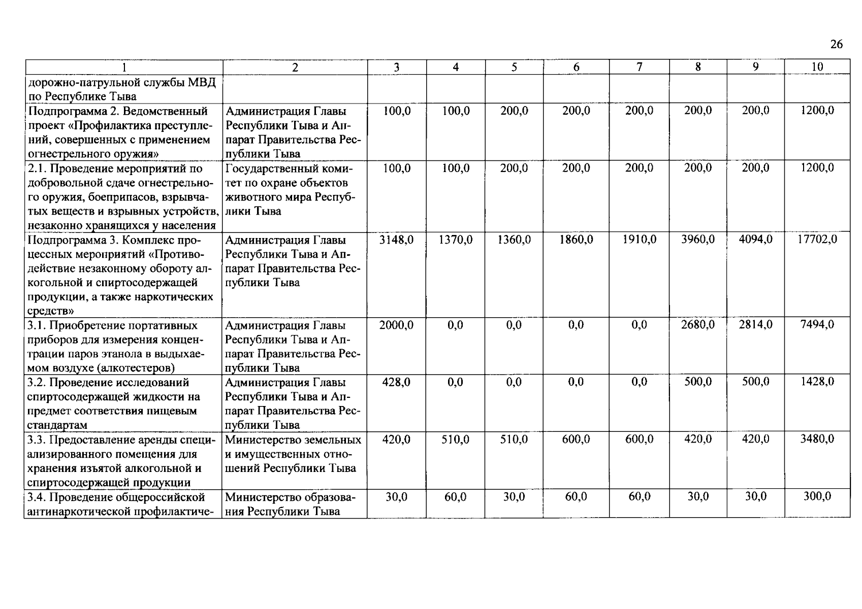
Постановление Правительства Республики Тыва от 08.04.2026 № 136
"О внесении изменений в постановление Правительства Республики Тыва от 9 ноября 2023 г. № 820"
Номер опубликования: 1700202604100002
Дата опубликования: 10.04.2026
Страница №26 из 32:
Увеличить