Официальное опубликование правовых актов
ОФИЦИАЛЬНОЕ ОПУБЛИКОВАНИЕ
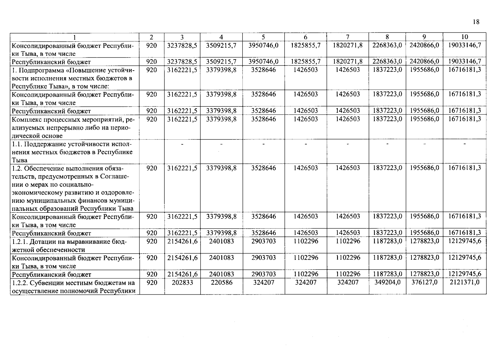
Постановление Правительства Республики Тыва от 30.01.2026 № 39
"О внесении изменений в государственную программу Республики Тыва "Повышение эффективности управления общественными финансами Республики Тыва"
Номер опубликования: 1700202602030002
Дата опубликования: 03.02.2026
Страница №18 из 23:
Увеличить