Официальное опубликование правовых актов
ОФИЦИАЛЬНОЕ ОПУБЛИКОВАНИЕ
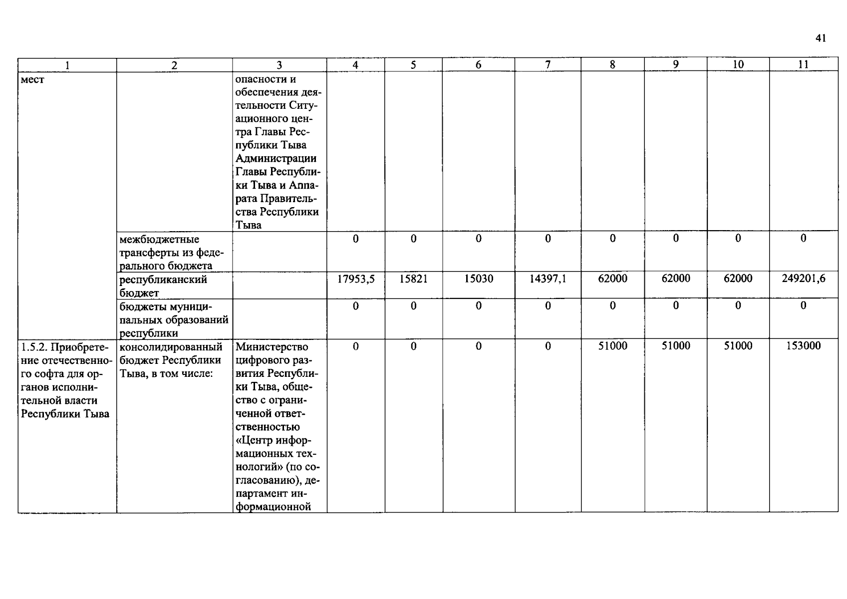
Постановление Правительства Республики Тыва от 20.11.2025 № 554
"О внесении изменений в постановление Правительства Республики Тыва от 9 ноября 2023 г. № 826"
Номер опубликования: 1700202511260003
Дата опубликования: 26.11.2025
Страница №41 из 50:
Увеличить