Официальное опубликование правовых актов
ОФИЦИАЛЬНОЕ ОПУБЛИКОВАНИЕ
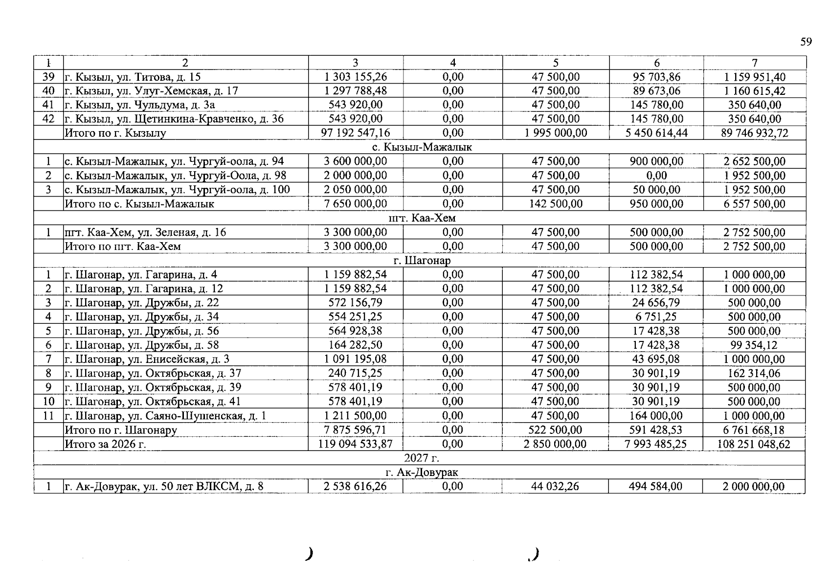
Постановление Правительства Республики Тыва от 15.10.2025 № 486
"О внесении изменений в региональную программу "Капитальный ремонт общего имущества в многоквартирных домах, расположенных на территории Республики Тыва, на 2014-2043 годы"
Номер опубликования: 1700202510170001
Дата опубликования: 17.10.2025
Страница №59 из 137:
Увеличить