Официальное опубликование правовых актов
ОФИЦИАЛЬНОЕ ОПУБЛИКОВАНИЕ
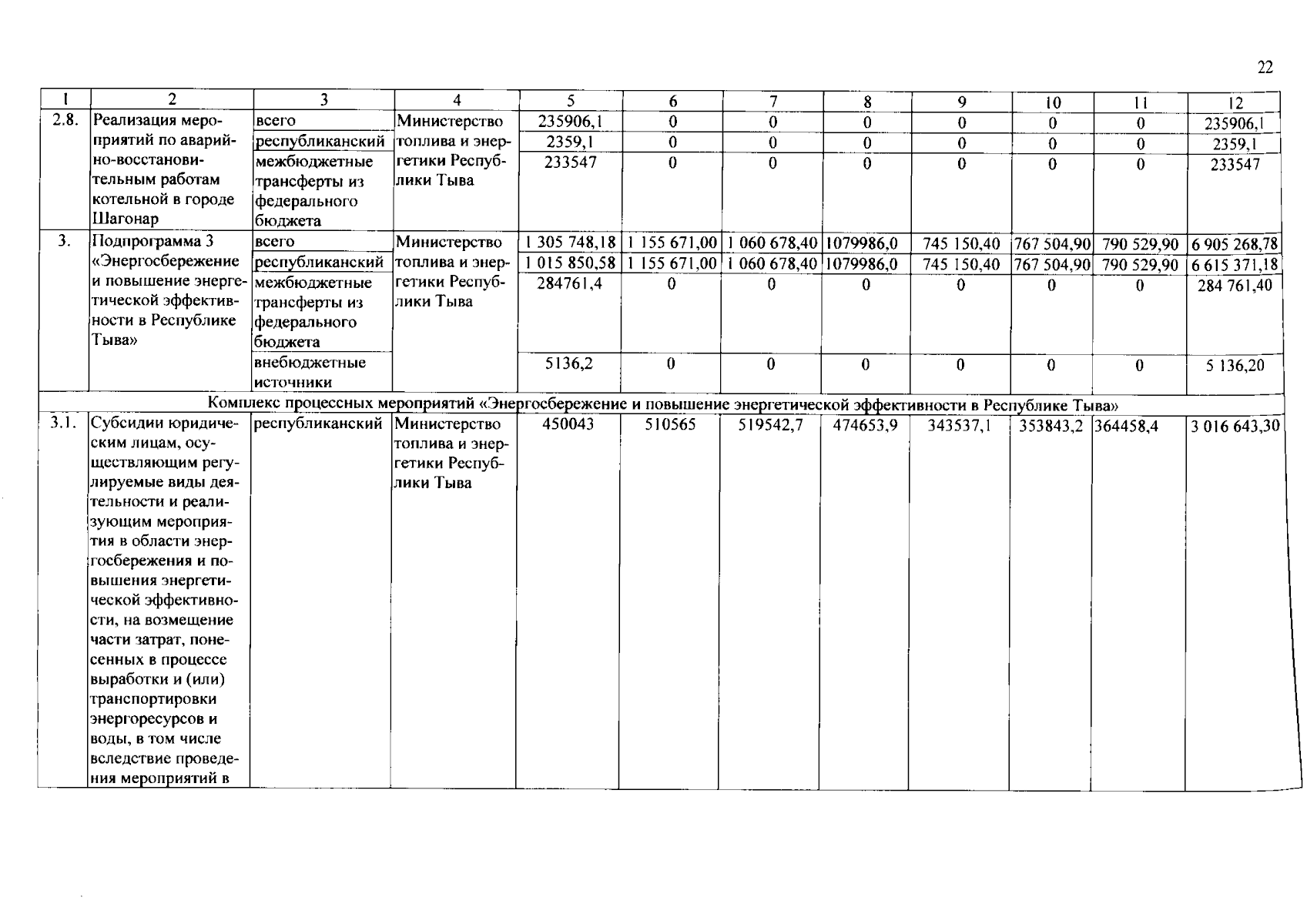
Постановление Правительства Республики Тыва от 09.04.2025 № 157
"О внесении изменений в государственную программу Республики Тыва "Энергоэффективность и развитие энергетики в Республике Тыва"
Номер опубликования: 1700202504150005
Дата опубликования: 15.04.2025
Страница №22 из 62:
Увеличить