Официальное опубликование правовых актов
ОФИЦИАЛЬНОЕ ОПУБЛИКОВАНИЕ
Постановление Правительства Республики Тыва от 20.03.2025 № 113
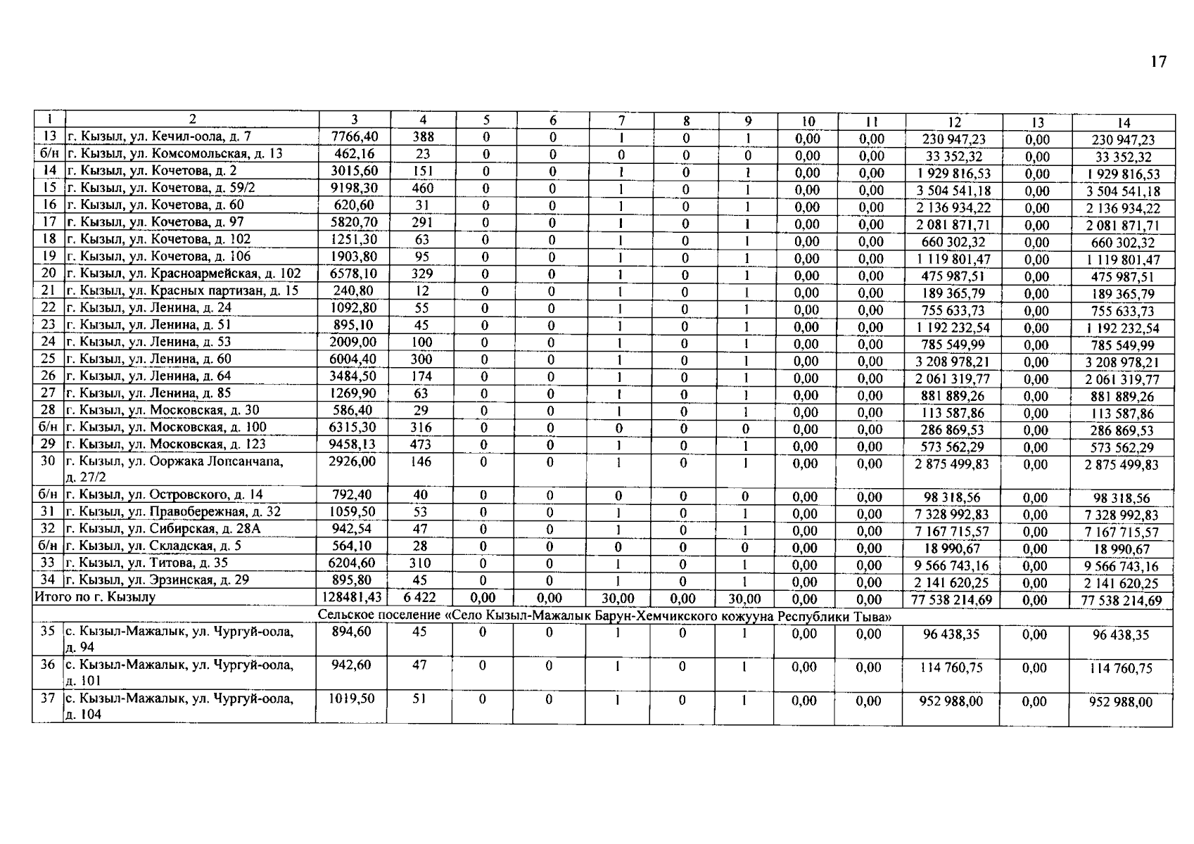
"О внесении изменения в краткосрочный план реализации региональной программы "Капитальный ремонт общего имущества в многоквартирных домах, расположенных на территории Республики Тыва, на 2014-2043 годы" на 2023-2025 годы"
Номер опубликования: 1700202503210010
Дата опубликования: 21.03.2025
Страница №17 из 23:
Увеличить